Anzahl Durchsuchen:3245 Autor:Ruqinba veröffentlichen Zeit: 2025-09-26 Herkunft:Powered
Nichtionische Tenside beziehen sich auf Tenside, die in wässriger Lösung nicht ionisieren. Ihre hydrophilen Gruppen bestehen hauptsächlich aus sauerstoffhaltigen Gruppen (typischerweise Ether- und Hydroxylgruppen). Der lipophile Teil des Moleküls stammt aus höheren Fettalkoholen, Alkylphenolen, Fettsäuren, Fettaminen und Ölen, während die Wasserlöslichkeit aus den Polyoxyethylen -Äthergruppen und terminalen Hydroxylgruppen innerhalb des Moleküls stammt.
Da nichtionische Tenside nicht in Wasser ionisieren, weisen sie mehrere Vorteile gegenüber ionischen Tensiden auf. Zum Beispiel haben sie eine gute Löslichkeit sowohl in Wasser- als auch in organischen Lösungsmitteln, zeigen eine hohe Stabilität in der Lösung und sind weniger von starken Elektrolyten, anorganischen Salzen, Säuren und Basen betroffen. Sie sind auch in hohem Maße mit anderen Arten von Tensiden kompatibel, wodurch sie für Mischung und Formulierung gut geeignet sind.
Die meisten nichtionischen Tenside existieren in flüssiger oder paste Form, und ihre Löslichkeit im Wasser nimmt mit zunehmender Temperatur ab. Sie besitzen eine breite Palette von funktionellen Eigenschaften, einschließlich hervorragender Reinigungen, Dispersion, Emulgierung, Schäumung, Benetzung, Solubilisierung, antistatischer Leistung, Leveling, Korrosionshemmung, Sterilisation und Schutzkolloidwirkungen. Infolgedessen werden sie häufig in Textilien, Papierherstellung, Lebensmitteln, Kunststoffen, Leder, Fell, Glas, Erdöl, chemischen Fasern, Pharmazeutika, Pestiziden, Beschichtungen, Farbstoffen, Düngemitteln, Filmen, Fotografie, Fotografie, Metallbearbeitung, Mineralverarbeitung, Baustoffen, Umweltschutz, Kosmetik, Feuerwehr, Landwirtschaft, Landwirtschaft, Landwirtschaft, Landwirtschaft, Landwirtschaft, Landwirtschaft, Landwirtschaft, Landwirtschaft, Landwirtschaft, Landwirtschaft, Landwirtschaft, Landwirtschaft, Landwirtschaft, Landwirtschaft, Landwirtschaft, Landwirtschaft, Landwirtschaft, Landwirtschaft, Landwirtschaft, Landwirtschaft.
Dies sind Polyetherverbindungen, die durch Kondens von Ethylenoxid mit langkettigen Fettalkoholen, Alkylphenolen oder höheren Fettsäure-Polyolestern erhalten werden.
Repräsentative Rohstoffe:
Fettalkohol -Polyoxyethylenether
Alkylphenol -Polyoxyethylen -Ether
Polyol -Fettsäureester Polyoxyethylenethether
Fettsäurethylesterethoxylate
Fettalkohol-Polyoxyethylen-Ether (AEO), auch als Polyoxyethylen-Fettalkohol-Ether bekannt, sind die am schnellsten wachsenden und am weitesten verbreiteten Art von nichtionischen Tensiden. Diese Klasse von Tensiden wird durch die Kondensation von Polyethylenglykol (PEG) mit fettlichen Alkoholen gebildet und kann durch die allgemeine Formel dargestellt werden:
Ro (ch ₂ ch ₂ o) ₙ h
wobei n der Grad der Polymerisation ist. Abhängig vom Grad der Polymerisation von PEG und der Art des verwendeten Fettalkohols existieren unterschiedliche Sorten.
Kommerziell werden diese unter Handelsnamen wie Brij verkauft . Beispielsweise werden BRIJ 30 und andere BRIJ -Produkte durch Kondenseln der unterschiedlichen Anzahl von Ethylenoxideinheiten mit Laurylalkohol erhalten und werden üblicherweise als Emulgatoren vom Typ O/W verwendet.
Beispiel:
Ceteareth-10 (Inci-Name)
Alias: AEO-10
Chemischer Name: Cetearylalkohol Polyoxyethylen Ether-10
Aussehen: weißer Wachsfest
Löslichkeit: unlöslich im Wasser
HLB -Wert: 12,9
Strukturformel: n = 10

Alkylphenol-Polyoxyethylen-Ether ist auch als -N tx oder op bekannt , weist eine gute Wasserlöslichkeit auf, wenn N größer als 8. Alkylphenol-Polyoxyethylenethlen (Apeos) ist eine wichtige Klasse von Polyoxyethylen-nichtionischen Tensiden. Sie sind durch stabile Eigenschaften, Säuren und Alkalien und relativ niedrige Kosten gekennzeichnet.
Apeos werden häufig bei der Herstellung von Hochleistungswaschmitteln verwendet und sind seit langem eines der am häufigsten verwendeten Rohstoffe für Textilhilfsmittel. Sie werden häufig zu Reinigungsmitteln, Scheuchen, Spinnölen, Weichmachern, Wollverarbeitungsölen und Metallreinigungsmitteln zugesetzt.
Beispiel:
Nonoxynol-10 (Inci-Name)
Aliase: TX-10, Nonylphenol Polyoxyethylen (10) Ether
Aussehen: transparente Flüssigkeit
Eigenschaften: Ausgezeichnete Benetzung, Emulgierung, Verbreitung, Lösung, Schäumen, Enthüterung und Waschmittelfunktionen
HLB -Wert: 13.3
Strukturformel:

Ein typischer Vertreter dieser Kategorie ist Polyoxyethylen Sorbitan Ester (TWEEN) , auch als Polysorbate bekannt . Sie sind Kondensationsprodukte von Sorbitan (Spannweite) und Ethylenoxid. Aufgrund des Vorhandenseins mehrerer hydrophiler Polyoxyethylengruppen im Molekül weisen diese Tenside eine starke Hydrophilie auf. Zu den häufigen Typen gehören T-20, T-21, T-40, T-60, T-61, T-65, T-80, T-81 und T-85.
Beispiel:
Polysorbate 20 (Inci -Name)
Aliase: T-20, Tween 20, Polyoxyethylen (20) Sorbitan Monolaurat
Aussehen: Hellgelb bis Gelb viskose Flüssigkeit bei Raumtemperatur
Geruch: Leichter charakteristischer Geruch
Löslichkeit: Löslich in Wasser, Ethanol, Methanol und Ethylacetat; unlöslich in Mineralöl und Erdölether
Funktionen: Emulgator, Dispergiermittel, Solubilizer
Strukturformel:

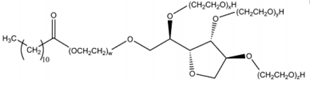
Fettsäure -Methylester -Ethoxylate (FMEE) werden durch die Additionsreaktion von Fettsäure -Methylester mit Ethylenoxid unter katalytischen Bedingungen erzeugt. Im Vergleich zu Fettsäure -Polyoxyethylen -Ether ist die Estergruppe in Fmee stabiler, insbesondere die signifikant verbesserte Resistenz gegen Säuren und Alkalien.
Der Rohstoff, Fettsäure -Methylester, ist selbst eine Art von Enthaltungsmittel. Nach der Ethoxylierung behält FMEE die Niedrigansammlungseigenschaften bei und bietet gleichzeitig eine verbesserte Leistung. Fmee wird hauptsächlich als hocheffizientes Reinigungsmittel verwendet , das: mit:
Niedriges Schäumung
Hoher Wolkenpunkt
Hervorragende Reinigungsfähigkeit
Hervorragende Verbreitungseigenschaften
Seine starke Dispergierbarkeit ist besonders wichtig in industriellen Anwendungen. Mit dem fortlaufenden Trend zu kleineren Badeverhältnissen in den Verarbeitungsvorgängen verhindert Fmee effektiv den Schmutz in der Arbeitslösung, um in Klumpen zu agglomerieren, und vermeidet eine erneute Abgabe von Geräten oder verarbeiteten Materialien.
Strukturformel:

Die Hauptkomponenten können als RCON (ch ₂ ch ₂ oh) ₂ dargestellt werden . Sie sind sowohl unter sauren als auch unter alkalischen Bedingungen stabil, wobei starke Benetzungen und emulgierende Eigenschaften. Wenn sie in Seifen eingebaut sind, können sie die Fähigkeit, die Wäsche und die Beständigkeit von Schäumung gegen hartes Wasser verbessern. Alkanolamide werden durch die Kondensation von Fettsäuren mit Monoethanolamin (MEA) oder Diethanolamin (DEA) produziert. Ihre hydrophilen Gruppen sind die Amid- und Hydroxylgruppen, während die hydrophobe Gruppe das langkettige Alkyl ist. Als eine Art nichtionischer Tensid können sie als Reinigungsmittel, Benetzungsmittel und Emulgatoren fungieren.
In der Kosmetik umfassen ihre Hauptanwendungen als Verdickungsmittel und Schaumstoffstabilisatoren.
Beispiel:
Kokamid -DEA (Inci -Name)
Aliase: Kokosnussfettsäure -Diethanolamid, 6501, Cocamid Diethanolamin
Aussehen: farblose viskose Flüssigkeit
Löslichkeit: löslich in Wasser
Eigenschaften: Hervorragende Schäumung, Schaumstoffstabilisierung und antistatische Wirkungen
Nach der technischen Spezifikation der kosmetischen Sicherheit (Ausgabe 2015) in China ist Cocamid DEA eine eingeschränkte Substanz mit spezifischen Qualitätsanforderungen:
Es darf nicht zusammen mit Nitrosationssystemen verwendet werden, um die Bildung von Nitrosamin zu vermeiden.
Maximale sekundäre Amingehalt in Produkten: 0,5%
Maximaler Nitrosamingehalt in Produkten: 50 µg/kg
Maximaler sekundärer Amingehalt im Rohmaterial: 5%
Muss in Behältern frei von Nitriten aufbewahrt werden.
Strukturformel: (1: 1 -Alkylamid -DEA Typ, wobei R Laurinsäure ist)

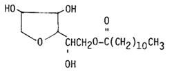
Polyolfettsäureester werden durch die Veresterung von Polyolen mit Fettsäuren erhalten. Der hydrophobe Teil stammt aus der langen Kohlenstoffkette der Fettsäure, während der hydrophile Teil von den nicht veröffneten Hydroxylgruppen stammt. Diese Kategorie umfasst Glycerinfettsäureester und Sorbitanester.
Glycerinfettsäureester werden durch die Reaktion von Glycerin mit Fettsäuren gebildet. Die Typen, die als Tenside wirken, sind hauptsächlich Monoesters und Diesters , die hauptsächlich als Emulgatoren verwendet werden. Im Allgemeinen kann eine Mischung aus Monoestern undsistern verwendet werden, aber Produkte mit etwa 90% Monoester -Gehalt können auch durch Destillation und Raffination erhalten werden.
Die verwendeten Fettsäuren umfassen Stearinsäure, Palmitinsäure, Myristische Säure, Ölsäure und Linolsäure. In den meisten Fällen werden gemischte Fettsäuren mit Stearinsäure als Hauptkomponente verwendet.
Beispiel:
Glyceryl Stearat (Inci -Name)
Aliase: Glycerylmonostearat, Glycerylstearsäureester
Aussehen: Weiße Flocken
Löslichkeit: unlöslich im Wasser
Funktionen: Wird hauptsächlich als Emulgator, Co-Emulsifizier und Emollient verwendet
Strukturformel:

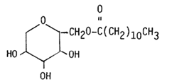
Diese Verbindungen werden auch als Span , Sorbitan -Fettsäureester oder Anhydrosorbitol -Fettsäureester bekannt und werden durch die Veresterung von Sorbitan (dehydratisiertem Sorbit) mit verschiedenen Fettsäuren erzeugt. Die Span -Serie zeigt eine sehr geringe Löslichkeit im Wasser und wird daher als lipophile Tenside eingestuft.
In Formulierungen werden sie häufig in Kombination mit Tween (Polysorbat) Tensiden verwendet. Die Span-Serie umfasst S-20, S-40, S-60, S-65, S-80 und S-85. Sie sind in einer Vielzahl von kommerziellen Noten mit gut etablierten Herstellungsprozessen erhältlich. Diese Materialien zeigen emulgierende Eigenschaften und Kompatibilität mit anderen Arten von Tensiden.
Spannweiten werden in der weit verbreitet Lebensmittel-, Pharma-, Kosmetik- und Textilindustrie , hauptsächlich als öllösliche, flüssige oder wachsartige Verbindungen. Sie sind besonders geeignet als Wasser-in-Öl-Emulgatoren (W/O).
Beispiel:
Sorbitan Laurate (Inci -Name)
Aliase: S-20, Span 20, Sorbitan Monolaurat, Anhydrosorbitolbitolmonolaurat
Funktionen: ohne Emulgator, Stabilisator, Dispergiermittel
Strukturformel:
ICH,

II 、

Iii 、

Saccharoseester beziehen sich auf Saccharose -Fettsäureester. Saccharose (C₁₂h₂₂o₁₁) ist ein Kondensationsprodukt eines Glukosemoleküls und eines Fructose -Moleküls. Da Saccharose mehrere freie Hydroxylgruppen enthält, hat sie eine gute Wasserlöslichkeit und kann mit höheren Fettsäuren verärgert werden.
Saccharoseester sind leicht biologisch abbaubar, absorbierbar vom menschlichen Körper, ungiftig und nicht in der Haut . Aufgrund dieser Eigenschaften werden sie häufig als Emulgatoren und Zusatzstoffe in Lebensmitteln und Kosmetika verwendet. Sie können auch als Zutaten in dienen : niedrigen Waschmitteln .
strukturelle Formel

Alkylaminoxide sind in Wasser- und polaren organischen Lösungsmitteln leicht löslich. Sie werden als schwache kationische amphotere Tenside eingestuft : In wässriger Lösung verhalten sie sich unter sauren Bedingungen als kationisch und unter alkalischen Bedingungen als nichtionisch.
Sie besitzen eine ausgezeichnete Verdickung, Antistatik-, Weich-, Schaum-, Schaumstabilisierungs- und Reinigungseigenschaften . Darüber hinaus weisen sie bakterizide Aktivität, Calciumseife -Verbreitung und gute biologische Abbaubarkeit auf , wodurch sie umweltfreundliche Tenside in Haushalts- und Körperpflegeprodukten verwendet werden.
In kosmetischen Formulierungen können Alkylaminoxide auch als Verdickungsmittel und Schaumstoffstabilisatoren dienen.
Beispiel:
Lauraminoxid (Inci -Name)
Aliase: Dodecyldimethylaminoxid, OB-2 Conditioner, OA-12
Aussehen: farblos bis hellgelbe transparente Flüssigkeit
Löslichkeit: löslich in Wasser
N-Alkylpyrrolidone zeigen ähnliche Eigenschaften wie Alkylaminoxide. Strukturell werden sie als nichtionische Tenside eingestuft , aber in sauren Medien wird das Molekül protoniert, wodurch eine kationische Gruppe erzeugt und damit ein schwaches kationisches Verhalten zeigt.
Sie werden in Haarpflegeprodukten als Verdickungsmittel, Schaumstoffstabilisatoren und Konditionierungsmittel verwendet und können auch als Solubilisierer für Duftstoffe und andere Komponenten fungieren.
Beispiel:
Lauryl Pyrrolidon (Inci -Name)
Aliase: N-Laurylpyrrolidon
Inhalt ist leer!
NEWSLETTER-ANMELDUNG