Anzahl Durchsuchen:24563 Autor:Site Editor veröffentlichen Zeit: 2025-09-16 Herkunft:Powered
In der Hochleistungsbeschichtungsindustrie hat sich die Polyaspartic-Beschichtung – auch bekannt als Polyaspartic Polyurea – zu einer bahnbrechenden Technologie entwickelt. Diese Systeme bestehen typischerweise aus zwei Komponenten (A und B). Es gibt zwar Einkomponenten-Versionen, der industrielle Goldstandard bleibt jedoch das Zweikomponentensystem für maximale Haltbarkeit.

In diesem System ist Komponente A das Polyaspartic-Harz (chemisch bekannt als Polyaspartic Ester ) und Komponente B ist das Isocyanat-Härtungsmittel.
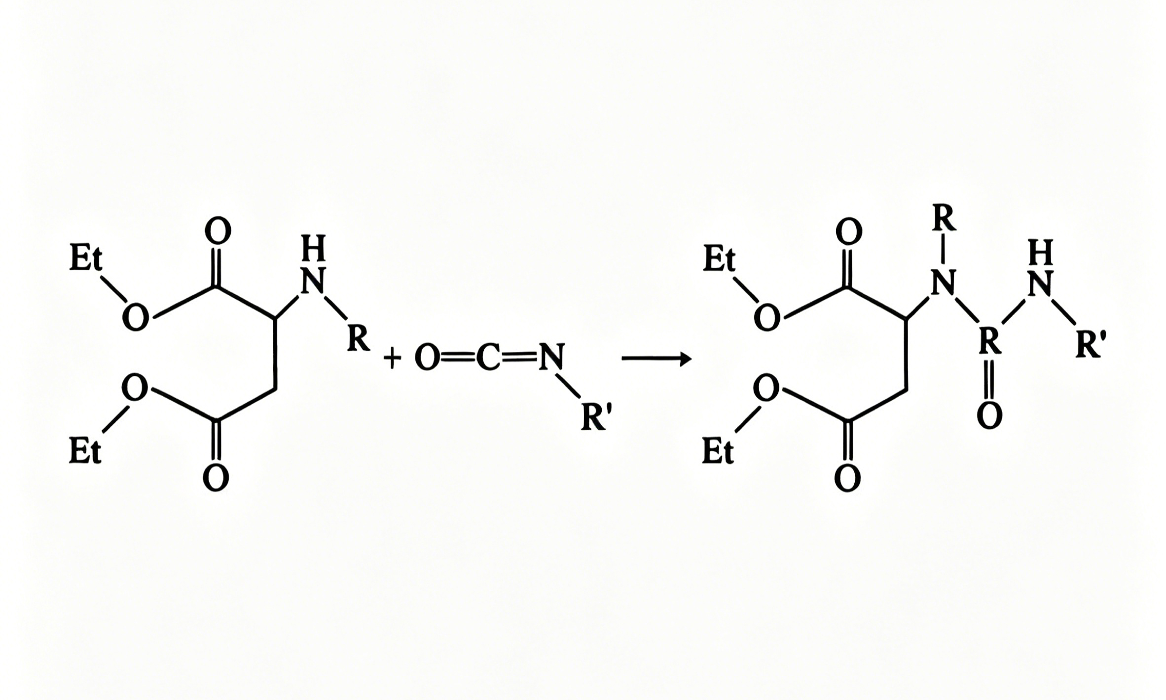
Polyaspartic-Harz fungiert als Kettenverlängerer für aliphatische sekundäre Amine. Es wird durch eine Michael-Additionsreaktion zwischen einem Dialkylmaleat und einem aliphatischen primären Diamin synthetisiert. Dieser Prozess wandelt primäre Amine in sekundäre Amine um.
Die Reaktivität sekundärer Amine ist deutlich geringer als die der primären Amine. In einem Polyasparaginsäureestermolekül sind die beiden sekundären Amingruppen durch eine „kronenartige“ Umgebung mit sterischer Hinderung und elektronischen Induktionseffekten abgeschirmt.
Diese Faktoren reduzieren die Reaktionsgeschwindigkeit zwischen dem Polyasparaginharz und den -NCO-Gruppen in der Isocyanatkomponente drastisch. Diese kontrollierte Reaktion ist das Geheimnis einer praktikablen „Topfzeit“, die ein manuelles Auftragen mit Pinsel oder Rolle ermöglicht – eine Leistung, die mit herkömmlichem, schnell abbindendem Polyharnstoffspray nicht möglich ist.

Synthese von Polyasparaginsäureester durch Michael-Addition
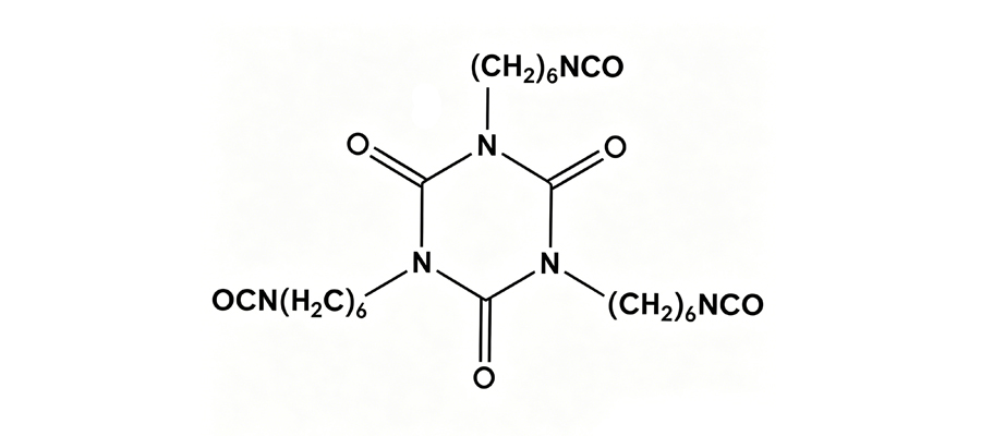
Um Hochleistungsergebnisse zu erzielen, verwenden Polyaspartic-Systeme Härter wie HDI-Trimere , , IPDI oder HMDI-Präpolymere . Die HDI-Trimer-Reihe wird besonders wegen ihrer aliphatischen Natur und stabilen Isocyanurat-Ringstruktur geschätzt und bietet:
Außergewöhnliche Witterungs- und UV-Beständigkeit: Der ausgehärtete Film bietet langfristige Vergilbungsbeständigkeit und behält seinen hohen Glanz auch bei extremer Sonneneinstrahlung.
Überragende physikalische Barriere: Bietet eine hervorragende Beständigkeit gegen Chemikalien und Lösungsmittel und schützt Substrate effektiv vor aggressiven Industriemedien.
Ästhetische Qualität: Mit hoher Transparenz und niedrigem Farbwert sind HDI-Trimere die ideale Kernkomponente für die Herstellung von Klarlacken und Hochglanz-Decklacken.

Chemische Struktur des HDI-Trimers
Bei der Bewertung einer Beschichtung für ein Projekt ist es wichtig, die technischen Kennzahlen einer Polyaspartic-Beschichtung mit herkömmlichen Lösungen zu vergleichen :
| Besonderheit | Polyaspartic-Polyharnstoff (Polyaspartic-Beschichtung) | Industrielles Polyurethan (PU) | Polyurea sprühen (Standard) |
| Feststoffgehalt | 70 % – 100 % (extrem niedrige VOC-Werte) | 45 % – 70 % (hoher VOC-Gehalt) | 100 % (keine VOC) |
| Aushärtung / Topfzeit | Einstellbar: 30 Min. – 2 Std. Topfzeit; schnelle Heilung. | Langsam; Topfzeit > 4h; Aushärtezeit > 24 Stunden. | Sofort: Geliert in < 30 Sekunden; erfordert hochwertige Maschinen. |
| Haftung | Ausgezeichnet: Direct-to-Metal (DTM); Stahl >12 MPa. | Mäßig; Für die meisten Oberflächen ist eine spezielle Grundierung erforderlich. | Variable; neigt zur Delaminierung, wenn der Untergrund nicht perfekt vorbereitet ist. |
| UV-Beständigkeit | Extrem: QUV-A 4000h+ (vergilbungsfrei, farbstabil). | Mäßig; verblasst/kreidet nach 1000 bis 1500 Stunden. | Schlecht: Die meisten sind aromatisch; vergilbt und kreidet innerhalb weniger Wochen. |
| Effizienz aufbauen | Dickschichtig: 150–500 μm in 1 Schicht; einsatzbereit in 4–6 Stunden. | Niedrigschichtig: 50–100 μm; Benötigt mehrere Schichten/Tage. | Dickschichtig: 1 mm+; aber die Oberfläche weist oft eine „Orangenschalen“-Struktur auf. |
| Mechanische Kante | Oberflächenhärte (2H) und Abriebfestigkeit. | Flexibilität, aber anfällig für Kratzer. | Dehnung und Reißfestigkeit; aber geringere Härte. |
Nicht vergilbend: Dauerhafte UV-Stabilität für den Außenbereich.
Feuchtigkeitsunempfindlich: Kann in feuchten Umgebungen ohne Blasenbildung aufgetragen werden.
Farbstabilität: Hervorragende Pigmentbeständigkeit im Laufe der Zeit.
Schnelle Aushärtung: Verkürzt die Bauzyklen drastisch.
Anwendung bei niedrigen Temperaturen: Härt die Aushärtungsleistung in kalten Klimazonen.
Hohe Klebkraft: Die starke Klebkraft gewährleistet die Systemintegrität.
Umweltfreundlich: Geruchsarm und VOC-arm für den Innen- und öffentlichen Gebrauch.
Umfassender Schutz: Wasserdicht, feuchtigkeitsbeständig und schimmelhemmend.
Nahtlose Oberfläche: Beseitigt hygienisch tote Ecken, in denen sich Schmutz ansammelt.
Einfache Wartung: Die Oberfläche lässt sich leicht mit handelsüblichen Mitteln reinigen und schrubben.
Keramikähnliche Oberfläche: Hochglänzende Ästhetik mit erstklassiger Haptik.
Extreme Zähigkeit: Hohe Dehnung zur Anpassung an die Verformung des Untergrunds.
Trotz der überlegenen Leistung sollten technische Käufer Folgendes berücksichtigen:
Höhere Anschaffungskosten: Aufgrund hochwertiger aliphatischer Rohstoffe ist der Stückpreis höher als bei Standard-Epoxidharz oder PU. Allerdings fällt die Life-Cycle-Cost-Analyse (LCCA) aufgrund der geringeren Ausfallzeiten und Wartung oft niedriger aus.
Professionelle Anwendung erforderlich: Die im Vergleich zu Epoxidharz schnellere Aushärtung erfordert ein erfahrenes Team, um das richtige Mischen und Nivellieren sicherzustellen.

Ganz gleich, ob es sich um die Abdichtung von Außenwänden, den Brückenschutz oder Industrieböden handelt, die Polyaspartic-Technologie bietet ein „All-in-One“-Leistungsprofil.
Wenn Sie an den chemischen Eigenschaften oder spezifischen Anwendungen unseres Polyaspartic-Harzes interessiert sind , erkunden Sie bitte unsere spezielle Website unter rqbpolyaspartic.com.
Unser technisches Team der Ruqinba Group steht Ihnen bei der Formulierungsoptimierung und Konstruktionsberatung zur Seite.
Wir bieten auch kostenlose Muster für Ihre Leistungstests an.
NEWSLETTER-ANMELDUNG